Document Type : Original Article

Authors

1 Warren Alpert Medical School, Brown University, Rhode Island, United States

2 Department of Emergency Medicine, Warren Alpert Medical School, Brown University Health, Rhode Island, United States

Abstract

Introduction: Design thinking is vital in medical education for addressing complex healthcare challenges, but interdisciplinary collaboration opportunities remain limited. This study evaluates student-reported 1) exposure to design-thinking methods, and 2) access to healthcare-specific design opportunities (courses, projects, mentors, and networks) at Brown University, the Rhode Island School of Design (RISD), and the Warren Alpert Medical School (AMS). It also assesses a student-driven organization that fosters skill development, interdisciplinary collaboration, and project-based learning.
Methods: A survey was developed with multidisciplinary student and faculty review for face and content validity. Using a cross-sectional convenience sample from a cross-institutional listserv, 77 students completed the 25-question survey covering demographics, prior experiences, interests, and perceived access to healthcare design opportunities. Responses used checkbox and Likert scale formats. We used descriptive statistics and between-group comparisons (project participants vs nonparticipants) via t-tests on Likert means (α=0.05).
Results: The survey yielded 77 responses. Respondents represented Brown (61%), AMS (18%), and RISD (14%), with 6% enrolled in joint Brown-RISD programs. Institutional disparities were noted from self-reported aptitudes: RISD students excelled in design (100%), and AMS in research (79%). Brown students reported the greatest access to academic opportunities in healthcare design (68%). Common challenges included limited professional networks (average 2.4/5). Participants sought collaborations and skills from other institutions. Most respondents (94%) desired project-based opportunities, highlighting demand for practical applications. Design x Health project participants reported significantly higher self-perceived access to opportunities and understanding of design processes compared to non-participants.
Conclusions: This study highlights the potential of student-driven organizations in addressing limited opportunities and networking needed to incorporate design in health solutions. By improving access to networks and integrating healthcare design into curricular and extracurricular offerings, such initiatives prepare students to tackle healthcare challenges.

Highlights

DANIEL HU

Keywords

Introduction

Design thinking refers to a human-centered, iterative problem-solving approach characterized by problem framing, ideation, prototyping, and testing across stakeholder groups ( 1 , 2 ). It is a general methodology that can be applied across domains. Healthcare design is the application of design methods—including design thinking—to healthcare contexts (e.g., services, devices, spaces, digital tools, and workflows) ( 3 - 5 ). Thus, design thinking provides the process framework, whereas healthcare design is the domain of application. The integration of design thinking into medical curricula aims to address multifaceted healthcare challenges by fostering creativity and user-centered solutions ( 2 ). However, significant gaps persist in healthcare design education and opportunities, particularly concerning cross-disciplinary collaboration ( 6 , 7 ).

Effective healthcare design requires multidisciplinary collaboration to develop innovative systems, services, and products ( 3 - 5 ). However, educators face challenges preparing students for this collaborative environment, as current medical and design education rarely provide longitudinal, hands-on opportunities to integrate these skills. Efforts such as workshops and hackathons often lack the depth and continuity to develop meaningful expertise across disciplines ( 8 , 11 ).

Furthermore, while interprofessional education (IPE) is widely acknowledged as vital for improving patient care and fostering collaboration, its implementation is hindered by limited curriculum space, funding, and authentic activities that simulate real-world practice ( 5 , 8 , 12 , 13 ). For healthcare and design, educational exposures to design thinking and innovation might be non-existent, limited, or contained intra-institutionally, keeping the design and healthcare fields separate ( 1 , 7 , 8 , 13 ). While single discipline approaches may develop specific, tailored skillsets and frameworks, curricular or extracurricular cross-disciplinary programs may offer valuable exposures to alternative perspectives and design frameworks ( 1 ).

Methods

We conducted a cross-sectional, observational, and survey-based program-evaluation study utilizing an online survey as the primary study instrument.

Design x Health

The student-driven organization Design x Health was launched in January of 2022 by students at the Brown University Warren Alpert Medical School (AMS), Brown University, and the Rhode Island School of Design (RISD).

The mission of Design x Health was to 1) expand healthcare design opportunities for students, 2) support students in the development of skill sets pertinent to healthcare design, 3) increase collaboration and connections between students of different disciplines, and 4) build connections and networks between students and industry professionals.

The primary activities of the organization were to establish project-based learning opportunities to implement real-world solutions to local healthcare issues. Several active projects were initiated, each with a dedicated faculty mentor from AMS, Brown, or RISD, along with 10+ active students per team. Project teams worked with faculty and community partners to identify healthcare problems to target. Subsequent projects ranged from product development to research to community advocacy and service. Lectures and networking events with multidisciplinary faculty and industry professionals supplemented project activities.

Projects and lectures involved the following design process based upon the RISD Master’s Program in Industrial Design curriculum and prior established frameworks ( 1 , 14 - 16 ): 1) identify, 2) define, 3) discover, 4) create, 5) evolve, and 6) execute.

To highlight one example project, Design x Health partnered with a local harm-reduction nonprofit to design, pilot, and deploy free-dispensing vending machines stocking naloxone, fentanyl test strips, dental-hygiene, safe-sex, and wound-care kits in multiple community facilities. For the first step, “Identify”, a needs assessment (public reports, partner briefings, site observations) highlighted barriers of cost, access hours, transportation, and stigma. Next, for “Define”, the problem was framed as delivering 24/7, anonymous, ADA-accessible access that is safe, compliant, and reliably restocked; success criteria included machine uptime, dispense counts by item, timely restocking, clear instructions, and absence of adverse security events. To “Discover”, facility walk-throughs, interviews/intercept surveys with clients and staff, and benchmarking of other jurisdictions informed placement, privacy, labeling, and inventory constraints. To “Create”, co-design produced accessible interfaces (high-contrast visuals, tactile controls) and tamper-resistant cabinetry; multilingual pictogram instructions and discrete packaging were developed; also, data collection was limited to aggregated item-level counts. To “Evolve”, rapid prototyping and hallway usability testing shortened the user flows and refined the instructions. Finally, to “Execute”, machines were installed with staff training and a shared dashboard for stock-outs/uptime; optional anonymous feedback informed iterative changes (e.g., relocating one unit for greater privacy, increasing wound-care stock, enlarging the naloxone panel). Evaluation focused on operational metrics and qualitative feedback. No individual-level data were collected.

Survey

The online survey was created by the study authors, incorporating the review of five faculty members (medicine, engineering, and design). The survey was designed to assess and inform Design x Health’s four mission goals. Item generation and refinement were completed through an iterative consensus process led by a multidisciplinary panel: four medical students, one design student, one undergraduate student, two medical faculty members, two design industry faculty members, and two engineering faculty members. Across multiple drafting meetings, the panel reviewed items for clarity, relevance to the program goals, and coverage of key constructs in healthcare/design education. Disagreements were resolved by consensus. We established face and content validity through the above expert review process.

The final questionnaire consisted of four sections: 1) demographic information (school and department), 2) past experiences and opportunities, 3) interests and goals regarding healthcare design, and 4) self-perceived access to opportunities and familiarity with the healthcare design process. In total, the questionnaire included 25 closed-ended questions. Parts 1-3 were assessed using checkbox format questions, and part 4 utilized Likert scale format questions.

An email listserv was created from 2022 to 2024 by student self-sign up from online forms posted upon institutional bulletin emails, flyers, and in-person events. The listserv included students at Brown University, AMS, and RISD. We used a cross-sectional convenience sample from the Design x Health listserv and affiliated announcements during the 2023–2024 academic year. The survey was disseminated via email correspondence, flyers, and in-person events.

Inclusion criteria were (a) current enrollment at Brown University, the Warren Alpert Medical School (AMS), or the Rhode Island School of Design (RISD) (including Brown–RISD joint programs); (b) age ≥18 years; and (c) consent provided electronically before survey start.Exclusion criteria were (a) duplicate submissions (only the most recent submission retained); (b) surveys with <80% item completion; and (c) non-students or alumni (self-reported).

For sample conditions, the survey was anonymous and voluntary, administered online between [start date] and [end date]. The objectives of the study and confidentiality considerations were presented to the students before completion of the survey. No incentives were provided. IP addresses were not stored; timestamps were used only to deduplicate repeated entries. Brown University IRB determined the study exempt.

Statistical Methods

Descriptive statistics were employed to characterize all question responses, including means and percentages where applicable. Bivariate analyses with Student’s t-test were conducted to compare responses between students of varying levels of involvement with Design x Health. We reported two-sided p-values, and the significance level was set at 0.05. Microsoft Excel® (2024) was used for all analysis. Figures were created using Python® (v3.13).

Ethical consideration

Ethics codes determined to be exempt from review by the Brown University Institutional Review Board (IRB STUDY00000216).

Results

Survey Response and Participant Demographics

The survey was sent to approximately 400 total email recipients across both times. A total of 77 unique participants (19%) completed the survey. Respondents were predominantly undergraduate students at Brown University (61%), followed by participants from AMS (18%), and RISD (14%), with (6%) enrolled in joint Brown-RISD programs. This distribution highlights the cross-disciplinary nature of Design x Health membership.

Existing Experiences and Opportunities

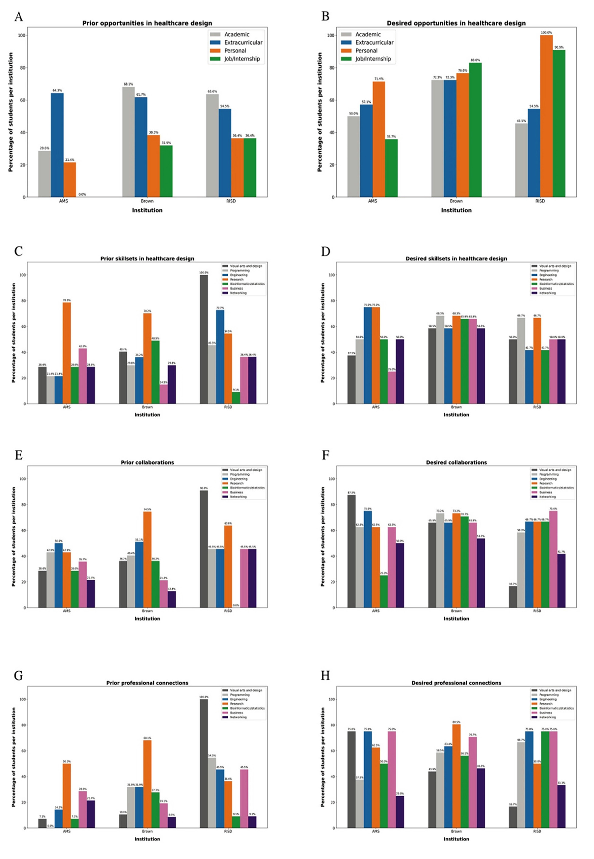
The checkbox format questions regarding existing experiences and opportunities in healthcare design are displayed in Table 1, with corresponding results displayed in Figure 1.

Opportunities in healthcare design
What kinds of opportunities in healthcare design / medical design do you currently have access to outside of Design x Health? (Figure 1, A)
Which kinds of opportunities in healthcare design / medical design do you wish to participate/engage in currently or in the future? (Figure 1, B)
Skillsets in healthcare design
What skillsets in healthcare/medical design have you already developed? (Figure 1, C)
What skillsets are you hoping to personally develop? (Figure 1, D)
Collaborations in healthcare design
Among the following fields/skillsets, which best represent the teams or people with whom you have collaborated with in the past/currently? (Figure 1, E)
What skillsets are you hoping to be connected/collaborate with? (Figure 1, F)
Professional connections in healthcare design
Which of the following fields are ones in which you have connections with industry professionals? (Figure 1, G)
What of the following faculty/professional fields are you hoping to be connected with? (Figure 1, H)
Table 1.The survey questions

Figure 1. Perceived experiences and opportunities in the healthcare design

A greater percentage of students at Brown (68%) and RISD (64%) reported access to academic opportunities in healthcare design compared to AMS students (29%) (A). Engagement in healthcare design was similarly higher among Brown (57%, academic; 38%, personal; 36%, job-related) and RISD students (54%, academic; 46%, personal and job-related) compared to AMS students (36%, academic; 29%, personal; 7%, job-related) (data not displayed).

Most respondents expressed a strong desire to engage in extracurricular (68%) and personal opportunities (81%) in healthcare design (B). Interest in job or internship opportunities was particularly high among Brown (83%) and RISD students (91%) but lower among AMS students (35.7%). Similarly, more Brown students (72%) showed a greater interest in academic projects than AMS (50%) or RISD students (45%).

Skillsets in healthcare design

AMS students were more likely to report proficiency in research skills (79%) than Brown (70%) or RISD students (55%) (C). RISD students demonstrated the highest proficiency in visual arts and design (100%) and engineering skills (73%), compared to Brown (40%, 36%) and AMS (29%, 21%).

Desired skillsets varied by institution (D). While AMS students most frequently sought engineering skills (75%), Brown (68%) and RISD (67%) students prioritized programming skills. Across all institutions, research skillsets were the most sought-after one (71%).

Collaborations in healthcare design

Collaboration patterns reflected institutional strengths (E). AMS students predominantly collaborated with engineering fields (50%), Brown students with research fields (75%), and RISD students with visual art and design fields (91%). Most respondents expressed a desire to connect with engineering (68%) and business-related skillsets (68%) (F). Notably, AMS students sought connections in visual art and design (88%), Brown students in research (73%), and RISD students in bioinformatics and statistics (67%).

Professional connections in healthcare design

Professional connections mirrored institutional strengths (G). AMS (50%) and Brown (68%) students reported connections in research fields, while RISD students had strong connections in visual art and design (100%) and programming (55%). Most respondents wished to connect with engineering (70%) and business professionals (73%) (H). AMS students expressed interest in connections with design professionals (75%), Brown students with research professionals (81%), and RISD students with bioinformatics professionals (75%).

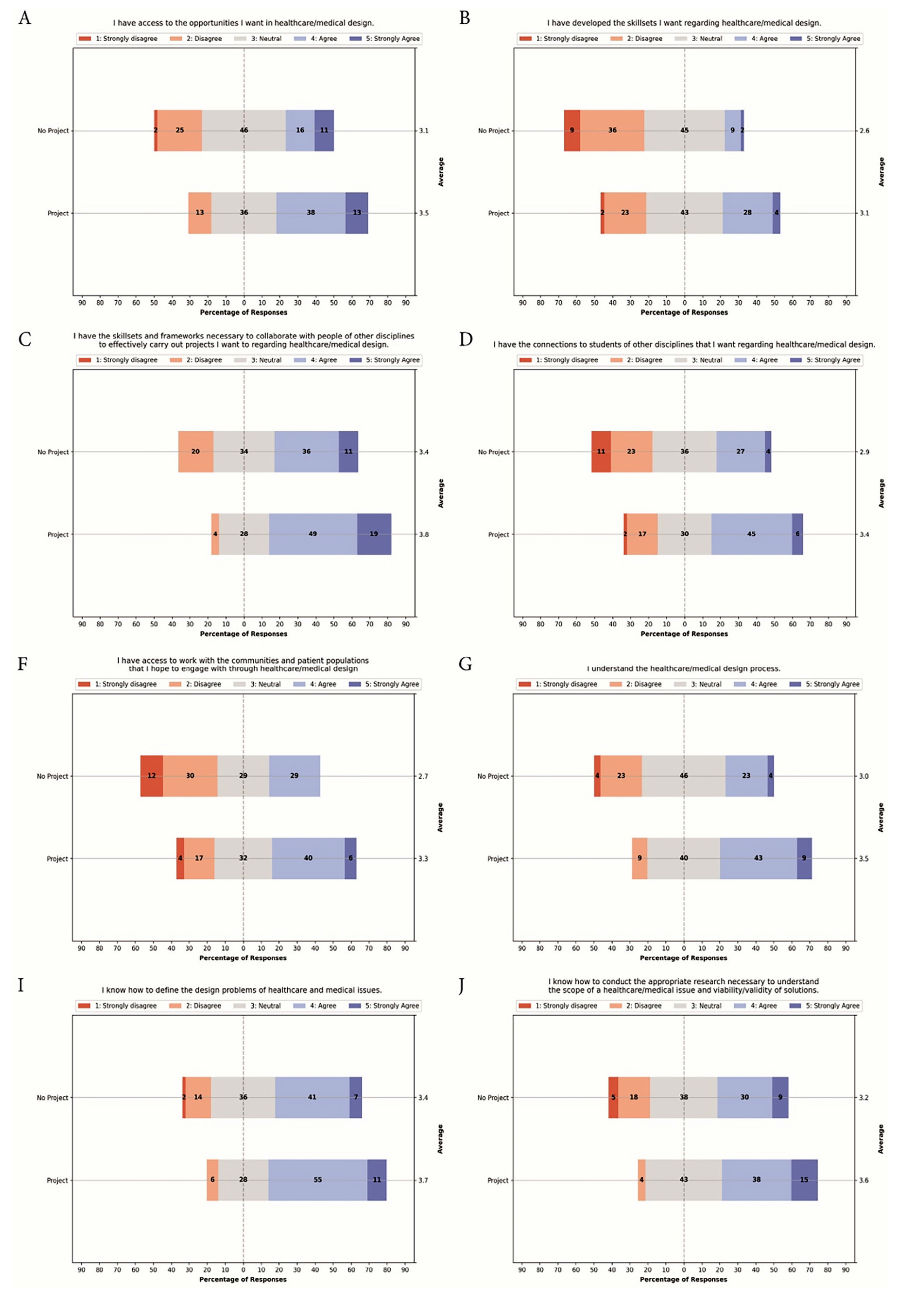
Self-perceived access to opportunities and familiarity with the healthcare design process

In Figure 2a, questions A-G assessed self-perceived access to opportunities in healthcare design, and in Figure 2b, questions H-M evaluated self-perceived familiarity with the healthcare design process.

Figure 2. a) Self-perceived access to opportunities, b) Self-perceived familiarity with the healthcare design process

As displayed in Figure 2a, respondents expressed confidence in their collaborative readiness, agreeing most strongly with the statement: “I have the skillsets and frameworks necessary to collaborate with people of other disciplines” (C, average score: 3.6). However, they were least confident in their professional connections (E, average score: 2.4) and development of desired skillsets (B, average score: 2.7).

As presented in Figure 2b, perceptions of familiarity with healthcare design processes varied across institutions and involvement levels. Respondents most strongly agreed with statements regarding their ability to brainstorm, create, and prototype ideas (K, average score: 4.1) and iterate solutions (L, average score: 4.0). However, they reported less confidence in defining healthcare design problems (G, average score: 3.4) and conducting the appropriate research necessary to understand healthcare challenges (J, average score: 3.3).

Engagement with Design x Health

Among all respondents, 94% sought project-based opportunities through Design x Health. Lectures and speaker events were also popular (55%), while networking events were highly desired by Brown (73%) and RISD students (83%) but less so by AMS students (38%).

Participants engaged in Design x Health projects (46% of respondents) reported significantly higher self-perceived access to opportunities and understanding of design processes compared to non-participants. Significant differences (p<0.05) were observed in self-perceived access to opportunities (A, p=0.023), personal skillsets (B, p=0.005), collaboration readiness (C, p=0.009), other disciplines (D, p=0.018), communities (F), and familiarity with specific stages of the design process (G, p=0.007; I, p=0.002; and J, p=0.048) (Figure 3).

Figure 3. Self-perceived access to opportunities and understanding of design processes, Design x Health project participants vs. non-participants

Several comparisons did not reach statistical significance but are informative for program design. Scores were uniformly low for statement (E) regarding industry and professional connections, indicating a common networking gap independent of program involvement. By contrast, items reflecting baseline design fluency were high across both groups with small, non-significant differences: statements (H: identifying issues in healthcare), (K: brainstorming, creating and prototyping), (L: testing, evaluating, and iterating), and (M: implementing ideas). Career orientation toward the field was also high, irrespective of participation with the statement (N: intention to incorporate healthcare design into a future career).

Discussion

This study explored student perceptions of healthcare design opportunities and self-perceived familiarity with the healthcare design process across three multidisciplinary institutions: Brown University, RISD, and AMS. Our key findings were:

  • 1. Institutional disparities exist in both self-perceived opportunities and skillsets, reflecting distinct educational emphases.
  • 2. Design x Health project participants demonstrated greater familiarity with design processes and access to interdisciplinary resources.
  • 3. While students valued collaborative, project-based opportunities, unmet needs for both peer and professional connections and industry engagement were apparent.

These findings underscore the pivotal role of student-driven organizations like Design x Health in fostering multidisciplinary collaboration.

Institutional Disparities in Healthcare Design Engagement

The results revealed notable variations in access to and engagement with healthcare design opportunities across institutions. RISD students perceived exceptional proficiency in design and engineering but had limited exposure to healthcare contexts and professional networks. Conversely, Brown students reported greater research-focused activities but expressed a need for design and engineering skillsets. AMS students responded with strong research backgrounds, yet they faced limited exposure to design fields.

These disparities are reflective of the distinct curricular emphases at each institution. RISD’s design-focused curriculum equips students with advanced creative and technical skills but offers limited integration with healthcare contexts. Brown’s broad liberal arts and research environment fosters interdisciplinary inquiry but may lack structured pathways to develop applied design expertise. Meanwhile, the rigorous and clinically oriented medical curriculum may leave little room for extracurricular engagement in healthcare design ( 8 ).

Strengths and Opportunities for Interdisciplinary Collaboration

Interdisciplinary collaboration emerged as a central theme and strength of Design x Health. The organization facilitated valuable interactions between students with complementary skillsets, such as AMS students seeking design expertise and RISD students desiring bioinformatics and statistical knowledge. Similarly, Brown students’ research proficiency complemented RISD’s design capabilities, creating an environment conducive to innovation.

The findings emphasize the importance of cross-disciplinary programs in bridging institutional divides. Design x Health’s project-based approach, which integrates mentorship and community partnerships, has been instrumental in fostering meaningful, real-world applications of healthcare design. Students involved in Design x Health projects reported higher self-perceived familiarity with design processes and greater access to interdisciplinary opportunities compared to their peers.

The absence of between-group differences for project participants and non-participants on items H, K, L, M, and N likely reflects ceiling effects for broadly endorsed skills and aspirations (ideation, iteration, and career intent were already high across the sample). In contrast, the uniformly low score on E points to a system-level barrier—limited access to industry networks—that program participation alone did not resolve within the study period. Programmatically, these results suggest 1) targeted networking interventions (industry mentorship pods, partner-of-record agreements, and internship pipelines), and 2) deeper, implementation-focused experiences (regulatory, reimbursement, and procurement modules; capstone launches) to move statement M from moderate familiarity toward proficiency.

Challenges and Barriers to Engagement

Before the launch of Design x Health, the student founders perceived a lack of academic and extracurricular offerings in healthcare design. Furthermore, the founders had difficulty finding meaningful hands-on, long-term opportunities that collaborated with students and mentors of other disciplines. Discussions with students in design-related fields revealed that they might not have had sufficient connections or access to real life medical practice. Medical students who sought to address healthcare issues in their future careers expressed not having the design resources to initiate or contribute to real-world projects. Finally, the past healthcare design projects were felt to be short-term with no plans for continuity. Projects were often repeated with little to no institutional memory of past approaches that physicians or students had worked on.

Despite the strengths of Design x Health to address these gaps, significant barriers remain. Undergraduate, graduate, and medical schools may serve as a key window period for the education and practice of design-thinking frameworks ( 5 , 7 ). However, medical students, constrained by rigid schedules and limited exposure to design methodologies, may continue to struggle with engagement in healthcare design. Across all groups, there was a notable dissatisfaction with professional networks, particularly connections to industry professionals in healthcare design. These challenges highlight the need for institutional support to create flexible, accessible opportunities for students from diverse disciplines.

Comparison to Existing Opportunities

The findings align with existing literature that underscores the importance of design thinking in medical education. However, prior studies highlight that medical education often lacks structured opportunities for longitudinal and multidisciplinary engagement in design ( 9 , 10 ).

Examples such as the Health Design Lab at Thomas Jefferson University demonstrate the value of institutionalized design initiatives and reveal limited medical student involvement upon review of their online listed membership ( 17 , 18 ). Duke University’s Clinical Research and Innovation scholarship year for medical students incorporates design-thinking elements but lacks the collaborative, cross-disciplinary emphasis central to Design x Health ( 19 ). Similarly, previous opportunities for medical students including lectures, workshops, or hack-a-thons may introduce core concepts and skills, but they may not necessarily highlight collaborative, cross-disciplinary components and do not allow for a more longitudinal or deeper range of engagement through every step of the design process ( 2 , 20 , 21 ). This underscores the unique value of student-driven organizations in addressing the gaps in healthcare design education.

Limitations

All study authors were involved in leadership or mentorship positions with Design x Health, which may introduce bias. The survey instrument underwent multidisciplinary expert review for face validity but was not formally validated; we did not perform cognitive testing, factor analysis, or reliability assessments. As a result, item groupings should be interpreted as theory-based constructs, and estimates may be affected by measurement error. These constraints, together with convenience sampling and a single-site context, limit generalizability, findings should be viewed as an exploratory program evaluation that informs future, more rigorous measurement work.

The survey limitations include a low response rate among students on the Design x Health email listserv and potential selection bias. The Design x Health organization is relatively new, and the structure of programming highlights longitudinal, engaged learning. As such, the full effects of Design x Health participation may not be captured in this study. The authors hope to continually evaluate the students’ perceptions of healthcare design while the Design x Health organization continues to evolve in its operations and membership.

Conclusion

This study highlights significant disparities in healthcare design engagement across institutions, reflecting unique curricular emphases and opportunities. Based upon self-reported aptitudes, RISD students excel in design and engineering, but they lack exposure to healthcare contexts. Conversely, Brown students demonstrate strong research engagement but require practical design applications. Medical students perceive robust research skills but face barriers to engaging in design-focused activities. Across all three-student bodies, survey respondents desired skillsets, collaborations, and professional connections with disciplines offered by other institutions.

The Design x Health initiative may effectively bridge these gaps, offering a student-driven, multidisciplinary platform for collaborative, project-based learning. Participants report improved access to opportunities, enhanced familiarity with design processes, and stronger interdisciplinary collaboration. These findings underscore the potential of such models in addressing the limitations of traditional healthcare design education and pave the way for introducing innovative, multidisciplinary efforts to solving complex healthcare challenges.

Proposals for Future Growth

To build on these findings, we propose several recommendations:

  • 1. Integrate Healthcare Design into Curricula: Optional, flexible design-thinking modules should be introduced within medical, design, and research curricula to provide structured and longitudinal opportunities for interdisciplinary engagement. Tailored extracurricular programs accommodating the schedules of medical students could facilitate greater participation in healthcare design projects.
  • 2. Expand Networking Opportunities: Partnerships with healthcare organizations and mentorship programs can help students build the professional connections necessary for career advancement in healthcare design.
  • 3. Foster Cross-Institutional Collaboration: Joint workshops, hackathons, interdisciplinary conferences, and hands-on projects can encourage shared learning and skill development among students from diverse backgrounds.

Acknowledgement

The study authors have no additional acknowledgments.

Authors’ contribution

DH: study concept and design, acquisition of data, analysis and interpretation of data, drafting of the manuscript, critical revision of the manuscript for important intellectual content; ML: study concept and design, acquisition of data, analysis and interpretation of data, drafting of the manuscript, critical revision of the manuscript for important intellectual content; AN: study concept and design, acquisition of data; MN: study concept and design, acquisition of data; GC: study concept and design, critical revision of the manuscript for important intellectual content. All authors have read and approved the final manuscript.

Conflict of interest

The study authors declare no conflicts of interest for this study.

Declaration of AI

No artificial intelligence tools were used in the conception, design, data collection, analysis, or writing of this study. All text, figures, and interpretations were produced entirely by the authors.

References

  1. Sandars J, Goh PS. Design Thinking in Medical Education: The Key Features and Practical Application. J Med Educ Curric Dev. 2020; 7:2382120520926518.
  2. McLaughlin JE, Wolcott MD, Hubbard D, Umstead K, Rider TR. A qualitative review of the design thinking framework in health professions education. BMC Medical Education. 2019; 19(1):98.
  3. Muratovski G. Creativity, Design Thinking and Interdisciplinarity. Singapore: Springer Singapore; 2017.
  4. Stalmeijer RE, Gijselaers WH, Wolfhagen IHAP, Harendza S, Scherpbier AJJA. How interdisciplinary teams can create multi-disciplinary education: the interplay between team processes and educational quality. Med Educ. 2007; 41(11):1059-66.
  5. Matthews J, Wright N. How Designers Are Transforming Healthcare. Singapore: Springer Nature Singapore; 2024.
  6. Gola M, Brambilla A, Barach P, Signorelli C, Capolongo S. Educational challenges in healthcare design: Training multidisciplinary professionals for future hospitals and healthcare. Annali di Igiene Medicina Preventiva e di Comunità. 2020; 32(5):549-66.
  7. Abu-Rish E, Kim S, Choe L, Varpio L, Malik E, White AA, et al. Current trends in interprofessional education of health sciences students: a literature review. J Interprof Care. 2012; 26(6):444-51.
  8. Albala L, Bober T, Mallozzi M, Koeneke-Hernandez L, Ku B. Design-thinking, making, and innovating: Fresh tools for the physician&#039;s toolbox. Universal Journal of Educational Research. 2018; 6(1):179-83.
  9. Sudacka M, Adler M, Durning SJ, Edelbring S, Frankowska A, Hartmann D, et al. Why is it so difficult to implement a longitudinal clinical reasoning curriculum? A multicenter interview study on the barriers perceived by European health professions educators. BMC Medical Education. 2021; 21(1):575.
  10. Khanna P, Roberts C, Lane AS. Designing health professional education curricula using systems thinking perspectives. BMC Medical Education. 2021; 21(1):20.
  11. van Velzen M, Boru A, Sarton E, de Beaufort AJ. Design thinking in medical education to tackle real world healthcare problems: The MasterMinds Challenge. Med Teach. 2024; 46(5):611-3.
  12. van Diggele C, Roberts C, Burgess A, Mellis C. Interprofessional education: tips for design and implementation. BMC Medical Education. 2020; 20(2):455.
  13. Sunguya BF, Hinthong W, Jimba M, Yasuoka J. Interprofessional education for whom?—challenges and lessons learned from its implementation in developed countries and their application to developing countries: a systematic review. PloS one. 2014; 9(5):e96724.
  14. Ayako Takase RL. Design Framework. IE Universitty: Grad Studio II; 2021.
  15. Seoul, South Korea; 2012.
  16. Design C. The Double Diamond: A universally accepted depiction of the design process. UK: Design Council; 2005.
  17. Ku B, Lupton E. Health Design Thinking: Creating Products and Services for Better Health. New York: Cooper Hewitt, Smithsonian Design Museum; 2020.
  18. Lupton E, Ku B. Health Design Thinking. New York: Cooper Hewitt, Smithsonian Design Museum and MIT Press; 2022.
  19. Duke University’s Clinical Research and Innovation Scholarship Year [Internet].. North Carolina, USA; 2025 [Cited 20 June 2025]. Available from: https://medschool.duke.edu/about-us/contact-duke-university-school-medicine
  20. Deitte LA, Omary RA. The Power of Design Thinking in Medical Education. Academic Radiology. 2019; 26(10):1417-20.
  21. van de Grift TC, Kroeze R. Design Thinking as a Tool for Interdisciplinary Education in Health Care. Acad Med. 2016; 91(9):1234-8.