Document Type : Original Article
Authors
- LEILA MASOUDIYEKTA 1, 2
- PARNIAN REZAEIAMJAD 3
- FARIBA ASGHARI 4
- EHSAN SHAMSI-GOOSHKI 4, 5
- AYAT AHMADI 6
- ALIREZA PARSAPOUR 4
1 Medical Ethics and History of Medicine Research Center and Department of Medical Ethics, School of Medicine, Tehran University of Medical Sciences, Tehran, Iran
2 Department of Nursing, School of Nursing and Midwifery, Dezful University of Medical Science, Dezful, Iran
3 Student Research Committee, School of Medicine, Tehran University of Medical Sciences, Tehran, Iran
4 Medical Ethics and History of Medicine Research Center, Tehran University of Medical Sciences, Tehran, Iran
5 Monash Bioethics Center, Monash University, Melbourne, Australia
6 Knowledge Utilization Research Center, Tehran University of Medical Sciences, Tehran, Iran
Abstract
Introduction: Physician advertising is an important topic in the medical field. It is an important tool for attracting new patients, increasing awareness of medical services, and promoting the brand of physicians and medical centers. Therefore, this study investigated the surgeons’ attitudes toward physician advertising.
Methods: This cross-sectional descriptive-analytical study was conducted on 136 surgeons selected from four teaching hospitals and two private hospitals in Tehran using convenience sampling. A researcher-made questionnaire was used to measure the surgeons’ attitudes towards physician advertising. The survey included scales validated by a group of experts, and questionnaire validation methods were performed using a 5-point Likert scale. Data were analyzed using SPSS 18 software. Descriptive statistics were used to summarize the data, and inferential statistical tests, including chi-square, Fisher’s exact test, and independent t-tests, were used to examine the associations.
Results: The mean age of the study physicians was 36.99±0.9 years. Regarding the physicians’ perceptions of advertising, 89% fully concurred that physician advertising enhanced their revenue.
Conversely, 76.5% of physicians contended that advertising did not foster increased competition or enhance services. Most participants (84.6%) entirely refuted the assertion that advertising undermined the reputation of physicians. Furthermore, 86% expressed complete dissent about the prohibition of advertising by physicians. Seventy-five percent of surgeons said that paying the media to invite physicians to educational seminars was the most improper way for doctors to advertise. Conversely, 88.2 percent of them said that posting instructional information on their
virtual profiles was the best approach. Statistical testing demonstrated that the judgment of the positive attitude toward physician advertising strongly correlated with age (p=0.002). The status of physician advertising in the community was deemed entirely proper for those under 30 years old, whereas it was deemed wholly inappropriate for those aged 30 to 45 and above.
Conclusion: The results of this study showed that physicians’ attitudes towards advertisements by physicians in society were evaluated favorably in terms of ethical aspects and the dignity of the medical profession.
Highlights
Keywords
Introduction
In the contemporary world, advertising profoundly impacts people's daily lives. In various fields, including politics, culture, health, wellness, and especially economics and commerce, people are always trying to experience a higher quality of life by obtaining more information about their needs, using various types of tools and media that contain advertisements ( 1 ). Advertising, as the lifeblood of the contemporary economy, plays a central role in shaping consumer behavior ( 2 ). This phenomenon has crossed geographical and cultural boundaries with the spread of technology and the emergence of new media. In the health sector, physician advertising has become a complex challenge ( 3 ).
Commercial advertising, especially with the advancement of technology and the emergence of new media, has taken a special place in this field. This type of advertising initially begins by informing the public about products and services. Then, it moves towards instilling needs in the audience, highlighting the strengths, and hiding the weaknesses of products and services to achieve greater profits and maintain a competitive position in the market.
In recent years, physician advertising has also become an important issue, and a significant portion of advertising is devoted to this area ( 4 - 6 ). During the revision of the International Code of Medical Ethics by the World Medical Association (WMA), one of the most contentious issues was the organization’s stance on medical advertising ( 7 ). Physicians' advertising was rarely observed in the past, but today, this phenomenon has become remarkably common ( 8 , 9 ). Proponents of this type of advertising believe that these activities can help increase patients' awareness of available treatment options, services provided, and medical specialties ( 10 - 13 ). In contrast, critics believe that patient-based advertising may create a severe conflict of interest for physicians, as they must act in patients' best interests and encourage them to use their services ( 14 - 16 ). On the other hand, the physician-patient relationship is based on trust, and patients are in a particularly vulnerable situation. They are at significant risk of receiving incorrect or misleading information ( 17 ). Most patients are looking for ways to improve their health, reverse the course of their disease, or correct their medical condition, and they usually have limited knowledge about treatment options. For this reason, they pay close attention to and trust any information the medical community provides, even if it is advertising ( 18 ).
The stance on medical advertising is closely tied to the broader question of how healthcare services are structured and perceived within a given socio-political and economic context, particularly in relation to free market principles and the role of government in regulating healthcare. The U.S. Federal Trade Commission's trade regulation has prohibited organizations like the American Medical Association from imposing restrictions on physicians who participate in advertising. Under this law, physicians can declare their expertise, specialized training, services provided, fees, and working hours if the advertisements are factual and not misleading. Policymakers believe that honest advertising can help patients make more informed decisions about their health care. However, any advertising deemed unfair, inaccurate, or deceptive will be subject to severe penalties. Also, physicians who advertise deceptively may face sanctions from state consumer protection agencies and state medical licensing boards ( 19 , 20 ).
In the Iranian legal system, rather than specific laws being passed to protect consumers, there is a focus on regulations to produce and distribute products, especially in the pharmaceutical and health fields. However, in some cases, overlaps or contradictions are observed in advertising licensing, authorities handling violations, and enforcing violations of advertising rules. For example, the Law on Medical, Pharmaceutical, and Cosmetics Regulations (approved in 1334) explicitly states (in Article 5) that none of the medical and pharmaceutical institutions, owners of medical and pharmaceutical techniques, and other institutions specified in Article 1 has the right to publish advertisements that mislead patients and their clients. Of course, criticism is made here against the legislator. His ambiguity is in the wording of the article. In other words, the opposite meaning of this article conveys the point that if the advertisement does not mislead patients, and it is only an advertisement for a medicine (a medicine that must be taken with a doctor's prescription), this advertisement is permissible. The Consumer Rights Protection Bill states the topic of advertising in Article 7, but the legislator has only mentioned in general terms that "untrue advertising and the provision of false information that causes consumer error through mass media and advertising leaflets is a dogma." Or according to Article 5 of the Law on Medical, Pharmaceutical, Cosmetic, and Health Regulations of the Medical Organizations [Healthcare Facilities], the Ministry of Health and Medical Education is required to prosecute physicians, pharmacists, and other medical professionals who engage in unauthorized advertising and publishing announcements regarding the treatment of sexually transmitted diseases and other infectious diseases. No physician or pharmacy can publish such advertisements without obtaining written consent from the Ministry of Health and Medical Education. Newspapers are also prohibited from publishing these announcements and advertisements before receiving permission from the Ministry of Health. Physicians and pharmacists who intend to advertise their treatments or medications must present scientific evidence for their claims to the Ministry of Health and the heads of health departments of the counties before publishing and only publish if they agree. Also, Articles 14 and 15 of the disciplinary regulations for handling professional and trade violations of medical and allied professions ( 21 ), enacted in 2011, state, “Attracting patients in a manner that is contrary to professional medical ethics as well as any misleading advertising through mass media and posting advertisements in places and streets outside the regulations of the medical system is prohibited.” Commercial advertising of medical and pharmaceutical products by medical and related businesses and placing commercial advertisements in their workplaces are prohibited. It is also prohibited to publish medical articles and reports and to describe technical and professional materials that are misleading in terms of advertising ( 22 ). Furthermore, Articles 47 and 59 of the Guide to Professional Ethics for the Medical System prescribe that medical and related professionals may directly or indirectly (through the media) advertise pharmaceutical and medicinal products for profit only after obtaining the required permits for the medical system and in accordance with the terms of the applicable regulations ( 21 ). Each of these laws addresses specific issues. However, some provisions overlap or contradict each other.
Given that surgeons are required to introduce and provide medical care, communicate with patients, educate, and pay attention to studies and surveys conducted in the field of professional advertising ( 23 , 24 ) and the profound effects of physician advertising on the public, the diverse and contradictory opinions of professionals regarding physician advertising, and the ambiguities and shortcomings in relevant laws and regulations, a review of the issue seems ethically and legally necessary. Of course, in this review, policymakers need to consider the attitudes of professionals and other stakeholders regarding physician advertising. This is an issue that has rarely been addressed so far, and due to the lack of studies in this field in the country, we aimed to conduct a study to examine the surgeons' attitudes toward physician advertising.
Methods
Participants
This cross-sectional descriptive-analytical study was conducted in Tehran in 2023. The research population of this study were surgeons with different specialties in four public hospitals and two private hospitals in Tehran. The sampling criterion for the study was having a medical degree, being employed in the surgical departments of the selected hospitals for at least 6 months, and being willing to participate in the study. The exclusion criterion also included the lack of cooperation of the physicians in the research and the failure to respond correctly and entirely to the questionnaire questions.
The sample size was calculated using the Cochran sample size formula, considering a 95% confidence level and accepting a margin of error of 0.1 to be 164 people. The sampling method was convenience sampling, and participants were selected from different groups of surgeons in six university hospitals (Hazrat Rasoul Hospital, Firoozgar Hospital, Imam Khomeini Hospital, Labafinejad Hospital) and two private hospitals (Omid Hospital, Day Hospital) in Tehran. Regarding the selection of the hospitals for the study, while considering the necessary cooperation of the hospital management for conducting the study, efforts were made to select centers so that it would cover a variety of surgical specialties. It should be noted that to collect the data, the researcher, after explaining the objective of the research, informed them that participation in the study was voluntary, and assuring them that the information would remain confidential, requested physicians in teaching hospitals who were present in the scientific programs of the hospital's surgical groups to complete the questionnaires and return them to the researcher carefully. For physicians in private hospitals where the scientific program was not held, the contact information was obtained from hospital officials, and the questionnaire was sent to them in person via email or a link in messengers after telephone coordination, and completed and received by the individuals.
Procedure
A checklist of physicians' demographic information and a questionnaire on physicians' attitudes toward physician advertising were developed and used to collect data based on a review of relevant literature. The final questionnaire had a total of nineteen questions, eighteen of which were about surgeons' attitudes towards doctors' advertising (including the dimensions of trust and attention, quality of service and need induction, professional dignity and ethics, supervision and control, cost of services, and patient expectations and complaints) as well as one question with ten sub-questions about surgeons' attitudes towards the appropriateness of various treatment methods (including offering discounts in exchange for introducing patients, publishing promotional images of the physician with famous patients, advertising in the media, discounts on treatment costs, office information, in-store advertising, publishing patient opinions, educational and promotional activities on virtual pages, advertising on urban billboards and overseas satellites). Then, the respondents wereasked to answer the questionnaire items on a five-point Likert scale from completely agree (with a score of 1) to completely disagree (with a score of 5) and, in the case of the question of advertising methods, from entirely appropriate (with a score of 5) to completely inappropriate (with a score of 1). The face validity of the questionnaire was examined and confirmed using the opinions of thirteen experts in the fields of medical ethics (4 people), methodologists (4 people), and surgeons (5 people). Their opinions on each question were asked regarding the relevance and necessity of each question and the conceptual framework of the literature used in the questions. For this purpose, two indices (CVI, CVR) were calculated, and the criteria of simplicity, relevance, clarity, and necessity were examined. Moreover, the coefficient (CVR) for this questionnaire was 0.82, and the CVI was between 0.7 and 1, and its rate for each section was more than 0.79. Therefore, all items remained in the questionnaire, and no item was removed from the questionnaire. Next, to ensure the reliability of the research instrument, we collected a sample of 20 surgeons, and then the test-retest method was used under the same conditions, and two weeks after the first test, which included the initial sample. The Inter Class Correlation (ICC) test results for all questions (0.84) were approved, indicating that the research instrument had the necessary reliability.
After the completion of the questionnaires, the questionnaires were reviewed, and the completed questionnaires were analyzed.
Statistical Analysis
After collecting the data, we analyzed them using SPSS18 software (version 18, SPSS Inc., Chicago, IL), and descriptive statistics, such as mean and standard deviation, were used. In addition, independent t-tests were used to measure the relationship and perform analytical statistics. Chi-square tests were also used. The significance level was considered less than 0.05.
Ethical Consideration
The present study was approved by the Research Ethics Committee of Tehran University of Medical Sciences (IR.TUMS.MEDICINE.REC.1400.264).
Results
In this study, 163 completed questionnaires from surgeon physicians in Tehran were analyzed. The mean age of these physicians was 36.99±0.9 (range: 28-60 years). Eighty-six subjects (63.2%) were under 30 years of age, 32 (23.5%) were between 30 and 45 years of age, and 17 (12.5%) were 45 years of age and older. Also, 41 (30.1%) participants were female, and 95 (69.9%) were male. Of the samples studied, 35 (25.7%) were specialized in general surgery and 24 (17.6%) in obstetrics and gynecology. The study sample consisted of 111 specialists (81.6%) and 25 subspecialists (18.4%). The professional status of the participating physicians was as follows: faculty surgeon 28(2), subspecialist resident 2(1), specialist resident 84(61), and non-faculty surgeon 22(16). In this study, 98 participants (72.1%) were academic, and 36 (26.5%) were private (Table 1).
| Variable | N | (%) | |
|---|---|---|---|
| Gender | Female | 41 | 30.1 |
| Male | 95 | 69.9 | |
| Age | 30< | 86 | 63.8 |
| 30-45 | 32 | 23.7 | |
| 45> | 18 | 12.5 | |
| Expertise | General Surgery | 35 | 25.7 |
| Neurology | 13 | 9.6 | |
| Orthopedics | 22 | 16.2 | |
| Urologists | 13 | 9.6 | |
| Obstetricians | 24 | 17.6 | |
| Ophthalmologists | 21 | 15.4 | |
| Ear, Nose, and Throat (ENT) | 8 | 5.9 | |
| Hospital type | University | 98 | 73.5 |
| Private | 38 | 26.5 | |
| Specialized status | Specialist | 111 | 81.6 |
| Sub-Specialist | 25 | 18.4 | |
| Position | Faculty Surgeon | 28 | 20 |
| Subspecialist Resident | 2 | 1 | |
| Specialist Resident | 84 | 63 | |
| Non-Faculty Surgeon | 22 | 16 | |
Table 2 shows the frequency distribution of the opinions of the physicians studied regarding the questions raised. According to the income and competition dimension table, most physicians agreed with increasing income opportunities for physicians, with 121 (89%) agreeing/strongly agreeing. On the other hand, others believe that advertising can lead to increased competition and improved services, with 104 (76.5%) agreeing/strongly agreeing. On the other hand, regarding the ethics and dignity of physicians in advertising, most of them believe that advertising is necessary for novice physicians.
| Dimensions | Question | Agree/Strongly agree N (%) | I have no opinion N (%) | Disagree/Strongly disagree N (%) |
|---|---|---|---|---|
| Income and opportunities | Advertising is good for physicians because it increases income opportunities. | 121 (89) | 7 (5.1) | 8 (5.9) |
| Advertising increases competition among Physicians to provide better services. | 104 (76.5) | 6 (4.1) | 26 (19.1) | |
| Today, many Physicians need to advertise when starting their private practice to earn income commensurate with their expenses. | 127 (93.4) | 5 (3.7) | 4 (2.9) | |
| Today, many Physicians need to advertise when starting their private practice to earn income commensurate with their expenses. | 127(93.4) | 5 (3.7) | 4 (2.9) | |
| The patient's trust and misguidance | Advertising reduces patients' trust in Physicians. | 14 (10.3) | 14(10.3) | 108 (79.4) |
| Usually, Physicians' advertisements mislead people and cause them to make the wrong decisions. | 24 (17.6) | 11 (8.1) | 101 (74.3) | |
| Physician advertising increases patients' awareness of making treatment decisions. | 51 (37.5) | 10 (7.4) | 75 (55.1) | |
| Reputation of Physicians | Advertising for Physicians is not appropriate for them and their position in society. | 16 (11.8) | 5 (3.7) | 115 (84.6) |
| Advertising by Physicians should be banned. | 9 (6.6) | 10 (7.5) | 117 (86) | |
| Regulation and supervision | Physicians are aware of the regulations governing physician advertising. | 28 (20.6) | 39(27.7) | 68 (50.7) |
| More regulations are needed on physician advertising. | 96 (70.6) | 11 (8.1) | 29 (21.3) | |
| More oversight is needed in the field of physician advertising. | 104(76.5) | 8 (5.9) | 24 (17.6) | |
| Service costs and patient expectations | Physicians' advertising of any service increases the cost of that service for patients. | 50 (36.8) | 10 (7.4) | 76 (55.9) |
| Physicians' advertising of any service increases the cost of that service for patients. | 27 (19.9) | 25(18.4) | 84 (61.8) | |
| Physician advertising raises the level of expectations and demands of patients toward physicians. | 56 (41.2) | 32(23.5) | 48 (35.3) | |
| Service quality | Providing high-quality medical service is enough to promote a Physician. | 6 (23.5) | 1 (5.9) | 96 (70.6) |
| Physician advertising increases the quality of diagnostic and therapeutic services. | 46 (33.8) | 27(19.9) | 63 (46.3) | |
| Complaints | Physician advertisements increase the risk of patient legal complaints. | 22 (16.2) | 32(23.5) | 82 (60.3) |
| Overall assessment | What is your overall assessment of the ethical justifiability and professional appropriateness of physicians’ advertising in society? | 55 (40.4) | 6 (4.4) | 75 (55.1) |
Many physicians believe that maintaining visibility in a competitive market is essential for their practices, despite the potential impact on their professional reputation. The findings show that 55 surgeons (40.4%) found that advertising by physicians in the community was entirely acceptable, while 75 surgeons (55.1%) viewed the overall situation as completely unacceptable.
Also, participants were asked to express their opinions on some types of advertising methods for physicians. The most inappropriate method of advertising for physicians among the items mentioned was paying money to the media by the doctor in exchange for inviting them to an educational program (in the view of 102 people (75%)) and publishing pictures of the physician with famous patients (in the view of 102 people (75%)), while the most appropriate method according to the physicians’ ideas was publishing educational content on their page in virtual spaces (in the view of 120 people (88.2%)). The most outstanding disagreement regarding advertising methods was regarding advertising physicians on billboards in the city, with 70 people (51.5%) agreeing and 42 people (30.9%) disagreeing (Table 3).
| Advertising method | Suitable / quite suitable N (%) | I have no opinion. N (%) | Inappropriate/completely inappropriate N (%) |
|---|---|---|---|
| Providing discounts on medical services in exchange for introducing other patients to the Physician. | 29 (21.3) | 6 (4.4) | 101 (74.3) |
| Advertising pictures of Physicians with famous (celebrity) patients. | 19 (14) | 15 (11) | 102 (75) |
| Payment to the media by a Physician in exchange for inviting her to public education TV shows. | 15 (11) | 19 (14) | 102 (75) |
| Discount on treatment fees for patients who obtain permission to use their images in commercial advertisements. | 35 (25.7) | 15 (11) | 86 (63.2) |
| Advertising the opening of the office in local newspapers. | 70 (52.6) | 14 (10.5) | 49 (36.8) |
| Distributing information about local Physicians' offices along with packages picked up by customers from stores. | 44 (32.8) | 13 (9.7) | 77 (57.5) |
| Publishing patients' satisfaction with the quality of services provided on their social media page. | 102 (75) | 7 (5.1) | 27 (19.9) |
| Publishing educational content on your page on the virtual network. | 120 (88.2) | 5 (3.7) | 11 (8.1) |
| Advertising Physicians on billboards around the city. | 42 (30.9) | 24 (17.6) | 70 (51.5) |
| Advertising Physicians on satellite TV channels. | 13 (9.6) | 31 (22.8) | 92 (67.6.2) |
Chi-square and Fisher's exact test on the data showed that there was a significant difference in the evaluation of the advertising situation according to the age; in the age group under 30 years old, the situation of physicians' advertising in the community was more appropriate, and in the age group 30-45 years old and above 45 years old, it was more inappropriate. There was also a significant difference in the evaluation of the advertising situation based on specialty. Subspecialist surgeons evaluated the advertising situation of physicians in the community as more inappropriate than specialist surgeons. However, other variables, such as gender and place of service (private vs. public university hospitals), did not significantly affect the evaluation of physicians' advertising situation in the community (Table 4).
| Demographic factor | Inappropriate/completely inappropriate N (%) | I have no opinion. N (%) | suitable / quite suitable N (%) | P | |
|---|---|---|---|---|---|
| Overall assessment | 75 (55.1) | 6 (4.4) | 55 (40.4) | * | |
| Age Group | 30< | 14 (38.9) | 1 (28) | 21 (58.3) | 0.002* |
| 30-45 | 35 (50.7) | 5 (702) | 29 (42) | ||
| 45> | 25 (83.3) | 0 (0) | 5 (16.7) | ||
| Gender | Male | 25 (61) | 0 (0) | 16 (39) | 0.27 |
| Female | 50 (52.6) | 6 (6.3) | 39 (41.1) | ||
| Specialty Status | Subspecialist | 20 (80) | 0 (0) | 5 (20) | 0.002* |
| Specialty | 55 (49.5) | 6 (5.4) | 50 (45) | ||
| Place of Work | Academic | 53 (54.1) | 4 (4.1) | 41 (41.8) | 0.82 |
| Private | 22 (61.1) | 1 (2.8) | 13 (36.1) | ||
| Surgeon/Generalist | Surgeon | 33 (66) | 1 (2) | 16 (32) | 0.12 |
| Generalist | 42 (48.8) | 5 (58) | 39 (45.3) | ||
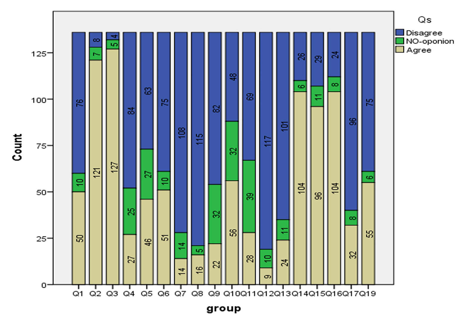
Younger surgeons (<30 years) exhibited significant skepticism toward inducing demand through advertising, though they acknowledged its necessity (97.2%). Older surgeons (50-60 years) showed an increasing acceptance of advertising, with 76.5% agreeing on its value. Trust in advertising diminished with age, while younger surgeons were more critical of costs and quality associated with advertising practices. Overall, there is a notable trend towards favoring regulatory measures and effective supervision across all age groups. The rest of the information is displayed in Figure 1.
Figure 1. Surgeons’ overall views on the eighteen questions of the survey of surgeons’ attitudes toward physician advertising
Discussion
In cases such as enhancement of professional dignity, increase in patient trust, and the necessity of being present, there is a positive and consistent view among them. On the other hand, in more sensitive issues, such as quality of service, creation of falsehoods in patients, and financial needs, the views are significantly contradictory.
Trust and focus on attention dimension: Healthcare trust is considered a “public good”; any advertising claim must be verifiable, refutable, and transparent. Avoiding misleading language (“guaranteed outcome,” “unparalleled”) and clearly separating education from advertising help maintain respect for patient autonomy and reduce the risk of misguidance due to information asymmetry. Disclosure of conflict, statements, and references to available evidence become ethical minimum requirements. Most surgeons believed that advertising did not reduce patient trust and could even increase their level of awareness. This finding is consistent with those of the studies of Kviz, et al. (1984) and Ghane (2014), who pointed out the role of transparency and honesty in building trust. However, the results of Franklin, et al. (2001) showed that advertising, in addition to increasing awareness, also improved the quality of services and reduced the costs; a finding that is not entirely consistent with the present study.
Service quality and need dimension: Advertising can conflict with induced demand induction and overconsumption of services. Claims should rely on quality processes and safety indicators rather than “outcomes” and be presented with risks, alternatives, and the likelihood of typical outcomes. Surgeons' views on the effect of advertising on service quality and creating unnecessary demand were contradictory; some considered it ineffective, and others disagreed that advertising led to unnecessary services. Studies by Sun-Yeun Park, et al. (2023) and Freeman, et al. (2009) have introduced advertising as a factor in improving service quality. Therefore, it can be said that the difference in results is probably due to the different times, cultures, and conditions of the studies.
Professional dignity and ethics dimension: The fine line between professional information and commercial self-promotion must be respected by professional norms: avoiding implicit insults to colleagues, avoiding celebrity-based techniques, and any use of a patient's image without informed, specific, and revocable consent. For new doctors, advertising can serve as a tool for competitive justice provided that these boundaries are respected. More than 80% of surgeons do not consider advertising a threat to professional dignity and reputation and consider it necessary, especially for new doctors. This finding is in contrast to some studies, such as those of Ronald Moser, et al. (2000) and Shakerinia (2010), who considered unethical advertising to be contrary to professional dignity.
Regulatory and monitoring dimension: Accountability is of great importance: advertisement of records, the ability to handle complaints, and periodic content audits—especially on social media, where algorithmic reinforcement can magnify inaccurate messages. The development of a monitoring system should be accompanied by rigorous training and strong legal frameworks to prevent false advertising. Only a fraction of surgeons were aware of advertising regulations, but the majority emphasized the need for regulations and increased awareness. This is consistent with the findings of Baker (2016) and Schmidt (2021), who emphasize greater oversight and regulation of advertising laws in the health sector.
The cost of services and patient expectations dimension: If it is seen as purely an advertising budget, there is a possibility of fair access to distorted medical information. The ethical solution is standardized content (e.g., minimum requirements regarding risk assessment, suitable/unsuitable candidate, recovery period) and transparent labeling. This finding is consistent with the study conducted by Booth, et al. (2006) that reduced advertising altogether but is at odds with the study carried out by Sung-Yeon Park, et al. (2023) that increased the price of services as a result.
Patient Complaints Dimension: Complaints are subject to expectation management. From an ethical perspective, any advertising message must be consistent with informed consent in the clinic; promises outside the examination room that are reflected in a consent form can increase the risk of harm to autonomy and accountability. The ethical responsibility of a physician also includes outsourcing. "Advertising representative" does not relieve the physicians of professional responsibility. Most surgeons believed that advertising did not increase patient complaints. A review of the study by Burton (1991) considered the high level of expectations caused by advertising as a factor in patient dissatisfaction and complaints.
Methods of advertisement: From the surgeons' perspective, the most appropriate method of advertising was to produce and publish educational books on social media, while paying money to the media or displaying pictures with celebrities were considered the most inappropriate method. In a study by McLean, et al. (1987), mass media advertising methods were desirable for increasing public awareness ( 25 ). A study by Tomycz (2006) showed that physicians advertise through various methods, one of the most common of which is the use of social media. Physicians should also be aware that their social media accounts are their identity and will be perceived by the public as associating the medical profession with personal identity ( 26 ).
Overall assessment of physician advertising: About half of the surgeons considered the status of physician advertising in society to be appropriate. Analysis of the results showed that positive attitudes toward advertising were more prevalent among younger physicians. This finding is consistent with studies by Freeman, et al. (2009), Schenker, et al. (2014), and James, et al. (2023), who showed that in recent years, physicians and especially young physicians have changed their attitude towards advertising from a traditional negative view to a positive one, and they agree with its implementation. They consider it appropriate to the extent that many physicians consider it essential for receiving better services and the proper economic management of the service ( 5 , 27 , 28 ).
Limitations
Among the limitations of the present study are its descriptive nature and the sampling method from a single urban population. Additionally, since we did not have the average age of the surgeon population, we used the population available in hospitals. Based on the results obtained from the study population, some age groups may be less represented in the samples of individuals than others. Therefore, its results cannot be generalized to all surgeons in the country. Future research should be conducted with a more diverse sample size and a balanced age distribution.
Conclusion
The results of the present study showed that the physicians in this study did not have a good view of the state of physician advertising in society regarding ethical aspects and the dignity of the medical profession. Given the participants' acknowledgment of surgeons' lack of knowledge about physician advertising regulations, educational and promotional measures are necessary in this regard and can improve appropriate medical advertising and patient awareness about correct advertising by specialists. The necessity of reviewing and updating regulations and providing appropriate information is among the results obtained in this study. Although physicians' attitudes towards the nature and limits of physicians' advertising cannot be the only factor determining ethical norms in this matter, by recognizing different dimensions of this attitude, efforts can be made to review and formulate regulations and monitoring criteria, by the acceptability of the medical community, and, of course, taking into account ethical norms.
Acknowledgments
We would like to thank all the officials of the university hospitals (Hazrat Rasoul Hospital, Firoozgar Hospital, Imam Khomeini Hospital, Labafinejad Hospital) and private hospitals (Omid Hospital, Day Hospital) for providing the necessary facilities to conduct this research.
Author contributions
APP and PRA conceptualized the study, designed and administered the survey, supervised the analysis, and wrote/edited the manuscript. AA performed data analysis and edited the manuscript. LMY helped to design the survey and edited the manuscript. EShG and FA supervised the study, contributed to study design and survey creation, and reviewed/edited the manuscript.
Conflict Interests
The authors declare no Conflict of interest.
Declaration of AI
The manuscript has now been subjected to rigorous review and AI-based tools (ChatGPT version 1.2025.014) to ensure its accuracy and linguistic clarity. The resulting text, after using professional services and AI tools, has been carefully read and edited by the authors to ensure the accuracy of the edits and fidelity to the authors' original intent in the text.
References
- Paper presented at: ; 2023.
- Domanloo F, Khodaparast A, Mohammadi Z. Ethical Evaluation of Medical Advertising with Emphasis on Nano-health Products. Iran J Biomed Law Ethics. 2019; 1(1):2-13.
- Korn GP, Moraes VR, Prado V. Medical advertising on social media. SciELO Brasil; 2022.
- Capozzi JD. Physician advertising: evaluation of a sample advertisement. JBJS. 2007; 89(9):2089-91.
- Schenker Y, Arnold RM, London AJ. The ethics of advertising for health care services. The American Journal of Bioethics. 2014; 14(3):34-43.
- Nagral S. Should Doctors Advertise? An Old Debate in a New Context. Journal of Medical Evidence. 2024; 5(2):152-5.
- Parsa-Parsi RW, Gillon R, Wiesing U. The revised International Code of Medical Ethics: an exercise in international professional ethical self-regulation. Journal of Medical Ethics. 2024; 50(3):163-8.
- de Gutierrez MGR, de Barros A, Barbieri M. Follow-up of former postgraduate students of a postgraduate nursing program. Acta Paulista De Enfermagem. 2019; 32(2):129-38.
- Paper presented at: ; 2010.
- Fuster V. The hazards of physician advertising. Washington, DC: American College of Cardiology Foundation; 2015.
- Liu Q, Gupta S. The impact of direct-to-consumer advertising of prescription drugs on physician visits and drug requests: Empirical findings and public policy implications. International Journal of Research in Marketing. 2011; 28(3):205-17.
- Rodwin MA. Drug advertising, continuing medical education, and physician prescribing: a historical review and reform proposal. Journal of Law, Medicine & Ethics. 2010; 38(4):807-15.
- Zwier S. The neglected repercussions of a physician advertising ban. Journal of Medical Ethics. 2014; 40(3):198-201.
- Pardun CJ. Advertising and society: An introduction. USA: John Wiley & Sons; 2013.
- Liang BA, Mackey T. Direct-to-consumer advertising with interactive internet media: Global regulation and public health issues. J Am Med Assoc. 2011; 305(8):824-5.
- Woloshin S, Schwartz LM, Welch HG. The Value Of Benefit Data In Direct-To-Consumer Drug Ads: Simple tables showing drugs' expected outcomes are understood and valued by consumers. Health Aff. 2004; 23(Suppl1):W4-234.
- Bunch WH. Ethics of direct advertising to consumers. USA: Spine J; 2008.
- Burton GE. Medical doctors and consumers view medical advertising. Health Mark Q. 1991; 9(1-2):81-95.
- Fulone I, Cadogan C, Barberato-Filho S, Bergamaschi CC, Mazzei LG, Lopes LP, et al. Pharmaceutical policies: effects of policies regulating drug marketing. Cochrane Database of Systematic Reviews. 2023; 6(6):CD013780.
- Ebrahimi Z, Ghafari H. Evaluation of Pharmaceutical Advertising Regulation Methods. Public Law Studies Quarterly. 2023; 53(1):21-41.
- Shamsi-Gooshki E, Parsapoor A, Asghari F, Parsa M, Saeedinejad Y, Biroudian S, et al. Developing" code of ethics for medical professionals, Medical Council of Islamic Republic of Iran". Archives of Iranian Medicine. 2020; 23(10):658-64.
- Law of the Organization of the Medical System of the Islamic Republic of Iran [Internet]. 2024 [Cited 4 June 2024]. Available from: https://rc.majlis.ir/fa/law/show/119395
- Zerrweck C, Arana S, Calleja C, Rodríguez N, Moreno E, Pantoja JP, et al. Social media, advertising, and internet use among general and bariatric surgeons. Surgical Endoscopy. 2020; 34:1634-40.
- Penna A, Chan Q, Marucci DD. Compliance of plastic surgeons with advertising guidelines. Australasian Journal of Plastic Surgery. 2019; 2(1):69-75.
- MacLean DS, Hayden JB, Bauer LC. Attitudes about marketing among Pennsylvania family physicians. The Journal of Family Practice. 1987; 25(3):293-5.
- Tomycz ND. A profession selling out: lamenting the paradigm shift in physician advertising. Journal of Medical Ethics. 2006; 32(1):26-8.
- James J. Smoking, information, and education: The Royal College of Physicians and the new public health movement. Journal of Policy Analysis and Management. 2024; 43(2):446-71.
- Freeman Jr GL, Moser HR. Attitudes toward use of advertising and various media practices by physicians. J Promot Manage. 2009; 15(3):400-17.